您的位置:制图网首页 -> 新闻动态

热门排行

  • 个人缺点20个点有哪些【个人优点20个】
    个人缺点20个点有哪些【个人优点20个】

    我的缺点是我很调皮,我很爱哭,我很不负责任,每次许晚秋问我问题我都不和她说,我很暴躁,喜欢发脾气,我的字写的也不是很完美,成绩也一般般,比不过别人,日记写的也没有什么A ,而且我的手拿什么都不稳,连

    2023/1/31 23:51:19
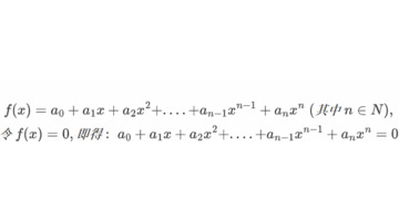
  • 牛顿法求方程的根的优缺点【牛顿法求方程的根论文】
    牛顿法求方程的根的优缺点【牛顿法求方程的根论文】

    方程(equation)在数学之中有着很高的地位,我们常见的有一次、二次和三次方程等等,并且我们还能通过部分方程的求根公式来进行求解方程的根。本文主要针对的是一般性的一元 n 次复系数方程,即是满足下

    2023/1/31 23:51:18
  • 怎样制作结业证书【怎么办结业证书】
    怎样制作结业证书【怎么办结业证书】

    到年终了,各行各业的各公司、各种机构(如教育培训机构)、行业协会等等除了年终业绩总结外,还需要各种荣誉证书的设计和颁发。例如,公司给销售精英颁发“最佳销售奖”、“销售精英奖”;培训机构给学员颁发“毕业

    2023/1/31 23:51:17
  • 怎样寄快递更省钱【如何便宜寄快递】
    怎样寄快递更省钱【如何便宜寄快递】

    当今收发快递已成为我们生活中密不可分的一部分。如今各大快递公司网点也已基本上覆盖每个城镇的大街小巷。物流的发展给人们带来了更大的便利,坐在家里足不出户,就可以把想要寄的快递寄到全国各地。很多家公司相互

    2023/1/31 23:51:16
  • 教室公告栏设计图片【公示栏设计图片】
    教室公告栏设计图片【公示栏设计图片】

    查看首图,关注 三到学社 ,获取更多完整资源2021年即将过去,2022年新年就要来临。让宝宝亲手制作一些适合跨年贴在小黑板上或者门上的小装饰品,既能锻炼动手能力,又能增添些节日的气氛。

    2023/1/31 23:51:15
  • 公众号怎么做文章推广模板【微信公众号怎么做文章推广】
    公众号怎么做文章推广模板【微信公众号怎么做文章推广】

    首先是扩大朋友圈,就是让你加微信好友。这个主要是利用好QQ群和微信群,还有竖版贴吧或者论坛,也就是发帖留下自己的微信账号,也可以回答别人的问题,留下微信账号,关注重点是,说明要加什么资源为好友,然后发

    2023/1/31 23:51:14
  • 李逵外貌描写的句子【李逵外貌描写特征】
    李逵外貌描写的句子【李逵外貌描写特征】

    李逵的外貌,关于李逵,也许是很多人看《水浒传》最喜欢的一个人了,虽然表面上看起来凶凶的,怪吓人的,但实际上却很可爱,有点莽撞,经常惹祸出事,干出一些出格的事情,而对于李逵的外貌应该怎么说呢?是很帅还是

    2023/1/31 23:51:14
  • 向隔离人员送上祝福句子【送给隔离人员的祝福语】
    向隔离人员送上祝福句子【送给隔离人员的祝福语】

    “疫情无情人有情,共同战疫,共度月圆”“病毒可以被隔离,但温暖不会被隔离,中秋快乐,共度圆月”……此前,80余张贺卡承载着鼓西街道速8酒店隔离点专班成员的祝福送到集中隔离人员手上让防疫有力度,隔离有温

    2023/1/31 23:51:12
  • 创维电视的标志图片【创维电视的标志在哪里】
    创维电视的标志图片【创维电视的标志在哪里】

    近年来,随着互联网、物联网、人工智能等新兴技术的崛起,家电行业迎来了新一轮的产业变革,开始向品牌化、高端化和智能化转型。创维作为家电行业的领跑者,紧跟时代潮流,在2018年,进行了品牌形象的调整,并向

    2023/1/31 23:51:11
  • 美的标准是什么是谁定义了这样的标准【美的标志图片】
    美的标准是什么是谁定义了这样的标准【美的标志图片】

    到底什么是美?你可能会得到千百种答案,因为每个人对美的定义各有不同,其中的标准更是因人而异。其实本质上,美是一种能引起人的愉悦感的物质属性,可被看成一个行为或是大脑的一个认知活动。无论你是谁,对象是什

    2023/1/31 23:51:10
  • shopee怎么注册【shopee怎么注册开店一件代发】
    shopee怎么注册【shopee怎么注册开店一件代发】

    皮平台确实是一个不错的跨境电商平台,所以吸引了很多中国卖家朋友想要在平台上注册开店,那么,在注册的过程中,大家需要填写一些基本的资料,先去了解一下虾皮注册设置ID是什么?这个可以贴你们企业的一个名字,

    2023/1/31 23:51:09
  • 男人梦见打牌赢了钱好不好【梦见打牌赢了钱好不好,但多少没算,也没收到现金】
    男人梦见打牌赢了钱好不好【梦见打牌赢了钱好不好,但多少没算,也没收到现金】

    夏日里,最欢愉的是什么?应该是最热的天里,淋最烈的雨。好梦里,最赏心悦目的是什么?应该是在最苦难日子里,触摸最高得天星。昨夜做过一个很奇怪的梦,梦见自己和人打牌,和自己的亲人打牌,具体是谁记得有点模糊

    2023/1/31 23:51:08
  • 外贸唛头的标准格式图【大米唛头的标准格式图】
    外贸唛头的标准格式图【大米唛头的标准格式图】

    唛头在国际业务中其实就是运输包装标志。而外贸中的“唛头”是运输标志另一种称呼,是为了便于识别货物,防止错发货,通常由型号,图形或收货单位简称。什么是唛头,有什么作用,接下来物通网给大家介绍。唛头是一个

    2023/1/31 23:51:07
  • 深圳印刷图库808tk【深圳印刷图库站】
    深圳印刷图库808tk【深圳印刷图库站】

    推荐一波新图库,这批货的质量都很高。除了常规的图库,还有很多可以素材自由组合的选择。基本属于免费的行列。没有版权的问题,请放心使用。(大部分属于英文图库,需要自备翻译插件或一定英文能力)创意合成图库1

    2023/1/31 23:51:06
  • 中国移动logo图片高清 壁纸【中国移动logo图片高清5G蓝底】
    中国移动logo图片高清 壁纸【中国移动logo图片高清5G蓝底】

    本报讯 5G牌照下发近半个月后,中国移动5G全新标识即将发布的消息曝光。据透露,6月26日,在上海召开的2019 MWC(世界移动通信大会)上,中国移动将正式发布5G品牌。中国移动的logo长这样:中

    2023/1/31 23:51:05
  • ps怎么做出一束光的感觉【ps怎么弄一束光】
    ps怎么做出一束光的感觉【ps怎么弄一束光】

    今天分享的是如何制作光束。打开PS,插入素材,新建一个图层,命名为黑色渐变,设置图层混合模式为正片叠底。使用渐变工具,选择前景色到背景色渐变,选择径向渐变,不透明度为50%,从图像中心拉伸渐变。按Ct

    2023/1/31 23:51:05
  • 跨省运费多少钱一公斤【跨省托运费是多少钱】
    跨省运费多少钱一公斤【跨省托运费是多少钱】

    轿车异地托运需要多少钱?(汽车托运到异地多少钱)现在无论是车商还是车主,只要需要异地运车,都会选择正规的轿车托运公司将车托运到汽车为什么选择轿车托运公司而不是货运公司?因为货运公司的收费不透明,而

    2023/1/31 23:51:03
  • 日本社会地位高的职业【美国社会地位高的职业】
    日本社会地位高的职业【美国社会地位高的职业】

    你觉得公务员在中国的待遇地位如何?您对现中国公务员这种职位有何看法?欢迎留言![呲牙][呲牙]在这个世界上影响最大的就是中国、美国、俄罗斯、日本了吧!现在的欧洲很祥和很淡定。人家自己跟自己玩的挺好。日

    2023/1/31 23:51:02
  • 做加油卡代理怎么赚钱【中石油加油卡代理渠道】
    做加油卡代理怎么赚钱【中石油加油卡代理渠道】

    挣钱项目千千万,每天都有无数人趋之若鹜,谁又不想尝尝那功成名就后的滋味呢?看官们能看到今天的这篇分享,也是大家在商业气运上的缘分,愿你身在一处安静又便于思考的阅读环境,花费10分钟来品味这篇分享文(不

    2023/1/31 23:51:01
  • 无货源电商怎么找货源一件代发【无货源电商怎么找货源 都是2件起发】
    无货源电商怎么找货源一件代发【无货源电商怎么找货源 都是2件起发】

    无货源电商实操教学:一件代发如何快速找到产品?一:无货源代发优势适合新手、大学生、宝妈、上班族运营成本低、保障金低运营:上架产品、店铺管理、负责客服,能够快速熟悉一件代发规则二:阿里巴巴选款生意参谋-

    2023/1/31 23:51:01

输入激活码

只需简单一步,使用微信扫码(或长按识别二维码)并在任一小程序首页根据提示获取激活码! chatGPT中文网页版,无需注册,快来体验全网最火爆的人工智能应用!
刻字印章刻章子定刻光敏盖章印订制(淘宝商家)

输入激活码

只需简单一步,使用微信扫码(或长按识别二维码)并在任一小程序首页根据提示获取激活码! chatGPT中文网页版,无需注册,快来体验全网最火爆的人工智能应用!
刻字印章刻章子定刻光敏盖章印订制(淘宝商家)