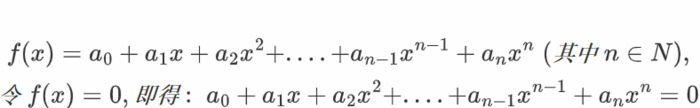
方程(equation)在数学之中有着很高的地位,我们常见的有一次、二次和三次方程等等,并且我们还能通过部分方程的求根公式来进行求解方程的根。本文主要针对的是一般性的一元 n 次复系数方程,即是满足下图的方程:

那么由高斯定理可知,满足上式该 n 次系数方程的根就有且仅有 n 个。注意:根据伽罗瓦群理论,五次及五次以上方程没有求根公式,即不能以代数数的形式写出方程的根,但是不是说这种方程没有解,使用超越函数(如三角函数、对数函数等)还是可以表示该方程的解。但是有的时候我们求解某些方程过于繁琐,且存在约束条件的情况下并不需要完全求解方程,而且若是含有超越数(如圆周率 π、自然常数 e 等)的方程,求解过程也会略显困难。因此人们想要另辟蹊径,想要找寻其他高效的方式来求解方程,在此期间涌现出了大量的求解方法如:二分法、不动点迭代等。本文主要介绍另一种优化的不动点迭代法——牛顿迭代法(Newton-Iterative-Method)。
牛顿迭代法也称为牛顿-拉夫森(Newton-Raphson)迭代法,它不仅适用于方程或方程组的求解,还常用于微分方程和积分方程求解,可见它的重要性。其方法基本原理如下:
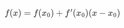
设 f(x) ∈ C² [m,n],对 f(x) 在 x₀ ∈ [m,n] 领域内对其进行泰勒展开,得如下结果:

舍去二次项,得到 f(x) 的线性近似式:

这也是关于 x₀ 这一点的切线方程,由此得到方程 f(x) = 0 的近似解:

即可得出关于 x 的迭代格式:

在此给出关于牛顿法的几何意义:牛顿迭代法也称为牛顿切线法,这是由于 f(x) 的线性化近似函数是曲线 y = f(x) 过点(x₀,f(x₀))的切线而得名的,将该零点代之 f(x) 的近似方程以求的零点,即切线 T 与 X 轴交点的横坐标,真实的根值为 X* ,牛顿迭代法实质上是一种线性化方法,其基本思想是将非线性方程逐步归结为某种线性方程来求解。

那么牛顿迭代法是收敛的吗?或者说是否对于任意的初始值 x₀ 都能够保证该迭代的结果收敛到 X* ?下面将通过代数解析的方式来说明其收敛性:
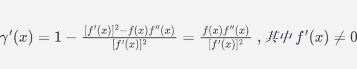
将牛顿迭代式写成如下形式,即可获得的不动点迭代形式:

这样就可以应用不动点迭代的收敛原则,只须证明在根 β 附近的迭代函数是一个压缩映象,即可证明其收敛性。由于

这里的根 β 是单根,即 f( β ) = 0 且 f ' (β) ≠ 0,于是:

由于 γ (x) 的连续性可知,存在一个领域( β - δ,β δ ),对该领域内的任意 x ,都有 | γ' (x)
制图网(www.makepic.net),专业的logo免费设计在线生成网站,全自动智能化logo设计,商标设计,logo在线生成!
欢迎使用制图网制作属于您公司自己的logo,不仅专业而且经济实惠,全方位满足您公司品牌化、视觉化的需求。
只需简单一步,使用微信扫码(或长按识别二维码)并在任一小程序首页根据提示获取激活码!
chatGPT中文网页版,无需注册,快来体验全网最火爆的人工智能应用!
只需简单一步,使用微信扫码(或长按识别二维码)并在任一小程序首页根据提示获取激活码!
chatGPT中文网页版,无需注册,快来体验全网最火爆的人工智能应用!