

本节课的知识点:
1.三角函数的和差公式的推导及公式的熟练记忆;2.二倍角公式推导(利用三角函数基本公式以及和差公式);3.辅助角公式(又称提斜公式),往往考察大题。
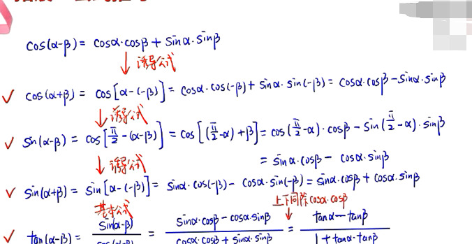
公式的推导:cos(a b)=cosa*cosb sina*sinb。

主要利用角度相等,∠qom=∠oab。


利用诱导公式和基本公式推导以下公式,需要记忆。

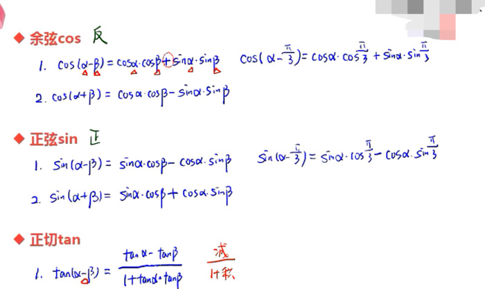
三角函数的和差公式:

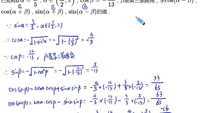
例题:

下题结合诱导公式去考,考察sina和cosa的诱导公式转换。


考察tan函数计算:

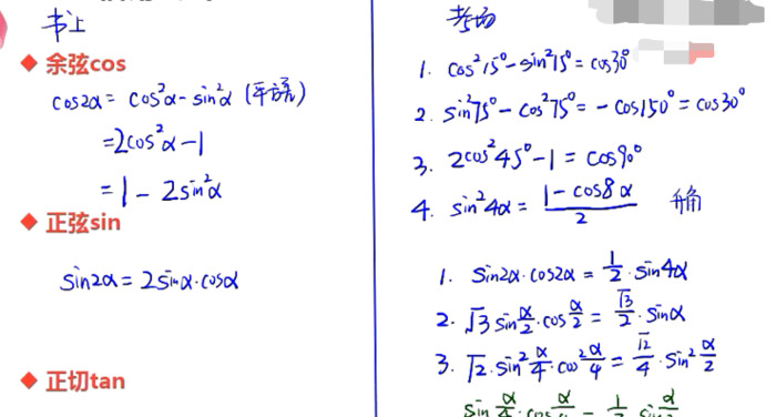
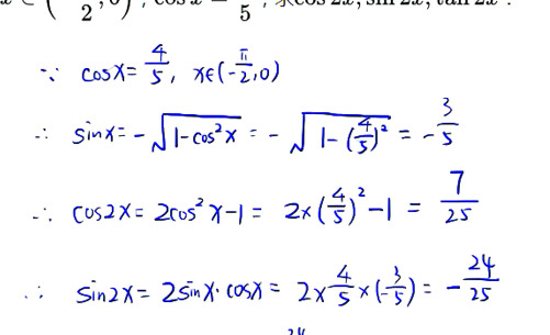
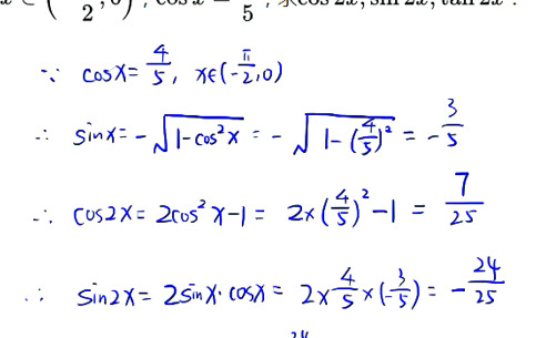
二、二倍角公式推导:原理就是在和差公式的基础上,运用基本公式进行转换得到。注意降幂升角。

二倍角公式:书本上的公式VS考场上关于公式的考察。

例题:




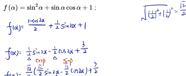
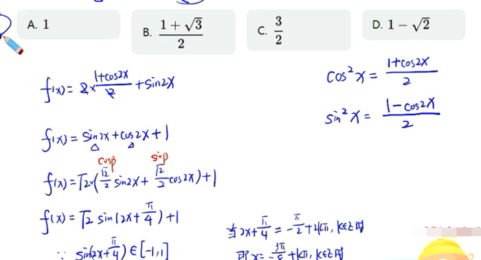
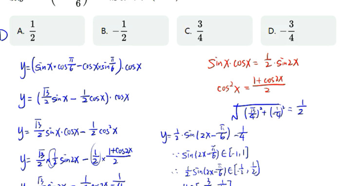
辅助角公式:既可以化成sina也可以化成cosa函数。利用的是和差公式。

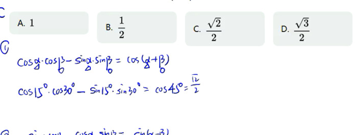
题型:



求解下题:大题求解最值问题时,一定要写上当取什么值时,有最值。



收工,Get✓。
如果小伙伴们觉得此技巧对你有帮助的话,欢迎在下方留言、点赞、转发给更多的朋友!
制图网(www.makepic.net),专业的logo免费设计在线生成网站,全自动智能化logo设计,商标设计,logo在线生成!
欢迎使用制图网制作属于您公司自己的logo,不仅专业而且经济实惠,全方位满足您公司品牌化、视觉化的需求。
只需简单一步,使用微信扫码(或长按识别二维码)并在任一小程序首页根据提示获取激活码!
chatGPT中文网页版,无需注册,快来体验全网最火爆的人工智能应用!
只需简单一步,使用微信扫码(或长按识别二维码)并在任一小程序首页根据提示获取激活码!
chatGPT中文网页版,无需注册,快来体验全网最火爆的人工智能应用!